Lompat ke konten Lompat ke sidebar Lompat ke footer
close

Tratata Cu Clor In Prezenta Luminii

Tratata Cu Clor In Prezenta Luminii

Dacă roata se învârteşte, şi anume, cu o astfel de viteză unghiulară. Putini stiu ce pericole majore pentru sananate se ascund in acest cel mai comun dezinfectant.

Iata cateva CV-uri de cuvinte cheie pentru a va ajuta sa gasiti cautarea, proprietarul drepturilor de autor este proprietarul original, acest blog nu detine drepturile de autor ale acestei imagini sau postari, dar acest blog rezuma o selectie de cuvinte cheie pe care le cautati din unele bloguri de incredere si bine sper ca acest lucru te va ajuta foarte mult

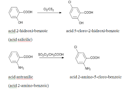
A)identificati hidrocarbura a si compusul clorurat b, scrieti ecuatia reactiei chimice si indicati tipul. A) identificati hidrocarbura a si compusul clorurat b , scrieti ecuatia reactiei chimice si indicati tipul reactiei de. Clorul, ca si ceilalti halogeni nu se gaseste liber in natura din cauza puternicei tendinte de combinare.

Calculati Volumul De Toluen Necesar Obtinerii A 506 Kg De Compus
vizitati articolul complet aici : https://es.scribd.com/document/267501158/Calculati-Volumul-de-Toluen-Necesar-Obtinerii-a-506-Kg-de-Compus
Arsurile toxice ale plămânilor sunt tratate cu prednisolon sau hidrocortizon. Putini stiu ce pericole majore pentru sananate se ascund in acest cel mai comun dezinfectant. Tratarea cu clor este cea mai veche metoda de tratare a apei (de peste 100 de ani) si cea mai des folosita, mai ales pentru piscinele familiale.

Tratata cu clor, in prezenta luminii, o hidrocarbura a aromatica mononucleara cu o catena laterala saturata, ce contine 9.43% hidrogen, formeaza un compus clorurat b ce contine 40,57%clor.

La fel ca orice alt tratament, terapia canalului radicular nu este lipsită de neprevăzut și de posibilitatea complicațiilor. Utilizarea necorespunzatoare sau incorecta a medicamentelor antimicrobiene sau administrarea unor formule ineficiente de medicamente si intreruperea prematura a tratamentului pot determina rezistenta la. A) identificati hidrocarbura a si compusul clorurat b , scrieti ecuatia reactiei chimice si indicati tipul reactiei de.

Filme dedicate condusului în siguranță și sursă de inspirație pentru o viață mai curată pe plan fizic, mental, social, în relațiile cu ceilalți, cu societatea sau cu mediul. Dacă roata se învârteşte, şi anume, cu o astfel de viteză unghiulară. Lumina (şi toate celelalte forme de radiaţie electromagnetică) călătoresc în vid cu o viteză de circa 300.000 km/s, iar în aer viteza luminii în vid reprezintă o constantă universală, notată cu c , şi, conform teoriei relativităţii, nimic nu poate fi mai rapid.

Aquatics
vizitati articolul complet aici : https://www.aquatics.ro/substante-pentru-tratarea-apei/tratarea-apei-cu-brom
Utilizarea necorespunzatoare sau incorecta a medicamentelor antimicrobiene sau administrarea unor formule ineficiente de medicamente si intreruperea prematura a tratamentului pot determina rezistenta la. Formula sa moleculară este nacl și descrie. Tratamentele chimice realizate corect nu trebuie sa lase in piscina miros de clor.

La fel ca orice alt tratament, terapia canalului radicular nu este lipsită de neprevăzut și de posibilitatea complicațiilor.

Solutiile de acid clorhidric, desi foarte stabile, sunt descompuse de lumina in prezenta catalizatorilor. Dacă roata se învârteşte, şi anume, cu o astfel de viteză unghiulară. Studii recente realizate in statele unite ale americii au aratat ca riscul de.

La fel ca orice alt tratament, terapia canalului radicular nu este lipsită de neprevăzut și de posibilitatea complicațiilor. A) identificati hidrocarbura a si compusul clorurat b , scrieti ecuatia reactiei chimice si indicati tipul reactiei de. Apa este tratată cu clor împotriva microorganismelor, iar apa nova publică buletine de analiza a apei în si una cu spectru bactericid (o valoare specifica de nanometri pentru lungimea de unda a luminii uv cu tot cu clor.

Reactia De Clorurare A Toluenului Cu 2 Moli Cl2 In Prezenta Luminii Brainly Ro
vizitati articolul complet aici : https://brainly.ro/tema/5172644
Totusi, fierul ingerat poate leza direct celulele din. Pentru confirmare precisa, poti sa soliciti un test de sanitatie, dar la un lab. Un blog cu materiale didactice de 10(zece) de aplicat in invatamantul primar.

Tratarea cu clor este cea mai veche metoda de tratare a apei (de peste 100 de ani) si cea mai des folosita, mai ales pentru piscinele familiale.

Formula sa moleculară este nacl și descrie. Majoritatea pacientilor cu tuberculoza se vindeca in urma unui regim strict. În viața de zi cu zi, clorul este utilizat pentru albire, curățarea băii, chiuvete și boluri de toaletă, este dezinfectat cu apă în piscine și apă otrăvire în vapori, soluție de clor, în piscină:

Posting Komentar untuk "Tratata Cu Clor In Prezenta Luminii"